近日,智能机器人与先进制造创新学院超越照明研究所宽禁带半导体团队樊嘉杰青年研究员在国际功率电子著名期刊《IEEE Transactions on Power Electronics》(中科院1区)上发表研究性成果:Warpage Optimization for SiC MOSFET Multi-Chip Fan-Out Panel Level Packaging with Thermal-Mechanical Finite Difference Numerical Modeling and In-Situ Digital Image Correlation Validation。团队完成了1200 V SiC MOSFET 板级扇出型嵌埋式封装研发,提出“热-机械快速耦合建模 + 多目标布局优化”的一体化方法,在热阻、结温均匀性与翘曲三项指标上实现同步提升,并通过原位数字图像相关平台热翘曲实验验证。

该工作的第一作者为超越照明研究所2021级博士生李雯钰,超越照明研究所樊嘉杰青年研究员为论文通讯作者。复旦大学智能机器人与先进制造创新学院为第一通讯单位,宁波甬江实验室、华中科技大学、美国拉马尔大学、荷兰代尔夫特理工大学、复旦大学宁波研究院宽禁带半导体材料与器件研究所参与合作研究。该工作得到了国家自然科学基金(面上项目)的资助。
研究内容
板级扇出型封装(FOPLP)因其优越的电热性能和成本效益而成为SiC MOSFET嵌埋式集成封装的一种重要手段。然而,多芯片嵌入式FOPLP封装尺寸的增加给样品制备和热机械应力带来了更大的挑战。本研究采用508mm×203mm大尺寸板级扇出型封装工艺一次成型制备了40个SiC MOSFET半桥模块。单个半桥模块的尺寸仅为20mm×20mm×0.78mm。采用双芯片并联的形式,实现了嵌埋4个芯片的1200V SiC功率模块。器件的静态测试性能表现良好,其中V(br)DSS: 1.60–1.65 kV;VGS(th): 2.6 V;RDS(on): 26.7–28.8 mΩ@(VGS=15 V, ID=33.3 A);Ciss: 3.6–3.8 nF@(VDS=1 kV, 100 kHz)。
为了实现器件热机械特性的快速表征,首先,基于热传导和弹性理论构建了三维叠层结构的热机械数值模型,并考虑了多芯片热耦合效应;利用傅里叶温度传导解析解和热弹性模型有限差分法计算了模块工作过程中的温度和变形分布。该模型的温度预测结果与有限元模拟比误差小于2.5%,变形预测误差小于2.3%,计算速度仅为有限元模拟的十分之一,内存使用量减少到五分之一。
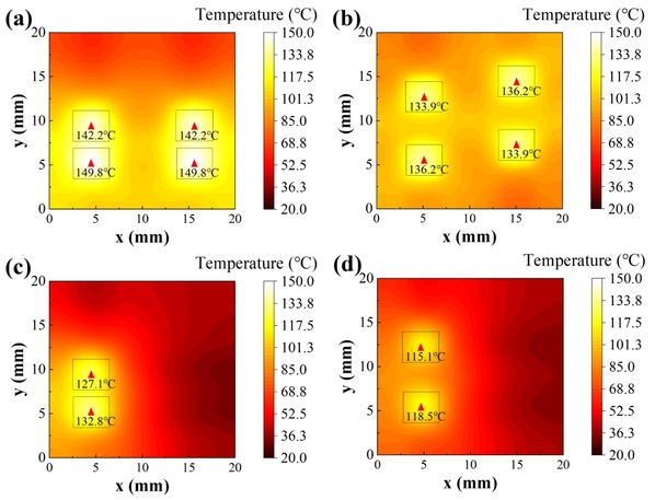
其次,为了减轻芯片热耦合效应对温度和翘曲的影响,本研究还通过多目标布局优化来提高器件热机械性能。以Tj,max(最高结温)、多芯片结温方差与顶面 z 向位移(翘曲)为目标,权重归一并评分筛选;在满足绝缘间隙 ≥ 0.6 mm等工艺约束下,通过对称布局以及载板 Z 形开槽等方法实现了多芯片热解耦,从而同步压低热阻、结温峰值与翘曲。优化布局后的模块的结温均匀性提升了91%,四颗芯片同时发热的热阻降低了19.6%,通流能力提升了9%。最后,采用高精度数字图像相关平台对不同布局模块进行原位热翘曲形变试验验证,结果表明在60°C和100°C下的翘曲形变量分别减少了13.5%和14.7%,有效验证了本研究所提热机械耦合模型和形变调控方法的可行性。

图1基于FOPLP的SiC MOSFET嵌埋式集成封装流程。

图2 利用所提出的热机械模型得到的温度分布(a)优化前的布局中四颗芯片同时发热;(b)优化后的布局中四颗芯片同时发热;(c)优化前的布局中两颗芯片同时发热;(d)优化后的布局中两颗芯片同时发热。

图3 利用所提出的热机械模型得到的翘曲分布(a)优化前的布局中四颗芯片同时发热;(b)优化后的布局中四颗芯片同时发热;(c)优化前的布局中两颗芯片同时发热;(d)优化后的布局中两颗芯片同时发热。

图4采用高精度数字图像相关平台对不同布局模块进行原位热翘曲形变试验验证。
本研究提出的SiC MOSFET嵌埋式集成封装结构及工艺已获得授权发明专利《一种低热阻低应力多芯片埋入式板级封装方法及其封装结构,202411406395.5》。相关热机械数值模型算法已登记发布软件软著《半导体先进封装多物理场可靠性评估软件V1.0,2025SR1214074》。学生团队也凭借这一成果完成创新创业项目《芯智封装师——“芯”封装国产可靠性EDA破局者》,获得中国国际大学生创新大赛(2025)中上海市金奖、复旦大学“卓越杯”创新创业大赛一等奖,并相继在中国(上海)国际技术进口交易会、宁波市高新技术成果交易洽谈会上展示。


图5相关研究成果的专利、软著及创新创业比赛成果。
文献链接
W. Li et al., “Warpage Optimization for SiC MOSFET Multi-Chip Fan-Out Panel Level Packaging with Thermal-Mechanical Finite Difference Numerical Modeling and In-Situ Digital Image Correlation Validation,” IEEE Transactions on Power Electronics, pp. 1–12, 2025, doi: 10.1109/TPEL.2025.3609446.
研究团队介绍
该课题组依托智能机器人与先进制造创新学院超越照明研究所、上海市碳化硅功率器件与工程技术研究中心、复旦大学宁波研究院宽禁带半导体材料与器件研究所开展学术研究,主要研究方向为:(1)宽禁带半导体封装工艺及可靠性;(2)先进封装材料测试及性能表征;(3)多尺度-多物理场仿真模拟;(4)材料界面力学模型与检测;(5)可靠性预测、健康管理及数字孪生技术等。
